学术动态

王艳清:Limit theorems for a supercritical two-type decomposable branching process in a random environment.
2025年06月16日 | 点击次数:

报告承办单位:数学与统计学院

报告题目:Limit theorems for a supercritical two-type decomposable branching process in a random environment.

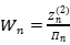
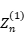
报告摘要:Let be a two-type decomposable branching process in an independent and identically distributed random environment, where a type 1 particle may produce particles of types 1 and 2,while a type 2 particle can only give birth to type 2 particles. We consider asymptotic properties of this process in the supercritical case.            Because is an usual single-type branching process in a random environment, we only consider , first, under some moment conditions, we find a suitable factor II, such that the normalized population size converges almost surely to a finite random variable , and provide a decomposition expression and a non-degeneracy condition of . Second, we give conditions under which is convergent in for , and bounded in for . Finally, we establish a central limit theorem for .

报告人姓名:王艳清

报告人所在单位:中南财经大学

报告人职称:教授

报告时间:2025年6月14日(星期六)下午17:00-18:00

报告地点:理科楼A212

报告人简介:王艳清,中南财经政法大学统计与数学学院副院长,教授、博导,全国工业统计教学研究会理事,中国现场统计研究会经济与金融分会理事,中国现场统计研究会旅游大数据分会理事,全国工业统计教学研究会数字经济与区块链技术协会理事。长期从事概率论与数理统计、经济统计相关领域的研究。主持参与国家社科基金重大项目、国家自然科学基金、教育部人文社科项目、国家统计局等纵横向课题30余项,在《中国科学:数学》、《数学学报》、《数理统计与管理》等国内期刊发表论文20余篇。

 

c

Baidu
米兰.全站APP正式版下载